0引言
電容器失效率鑒定方法包括指數鑒定和威布爾鑒定兩種, 其中指數鑒定法的適用范圍更廣, MIL-STD-690C-1993, GJB 2649—1996對其抽樣方案和程序作出了詳細規定, 而威布爾鑒定法僅用于固體電解質鉭電容器的失效率鑒定, 在固體電解質鉭電容器對應的國軍標總規范中, 有相關的詳細規定。雖然GJB 2283—1995和GJB 63B—2001同時規定了固體電解質鉭電容器的兩種失效率等級 (指數分布鑒定失效率等級M, P, R, S和威布爾鑒定失效率等級B, C, D) , 但目前航天型號所使用的均為采用指數鑒定的固體電解質鉭電容器。目前, 國內關于指數分布和威布爾分布用于元器件失效率鑒定的研究主要通過公式推導, 結合不同元器件的固有特點驗證這兩種鑒定方法的正確性及可行性。但因與元器件固有的特點緊密結合, 使推導局限于某一類型的元器件, 而且對指數鑒定和威布爾鑒定的研究通常各自獨立, 國內目前尚無文獻對兩種方法進行比較。本文對固體電解質鉭電容器指數分布和威布爾分布失效率鑒定方案進行了研究。
1 基于指數分布的失效率鑒定
1.1 抽樣方案理論依據
對基于指數分布的建模, 鉭電容器失效分布函數
式中:λ為鉭電容器的失效率。
鉭電容器對應的可靠度
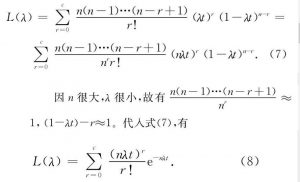
固體電解質鉭電容器抽樣檢驗一般需要有很大數量的抽樣數n。當n只樣品中不合格數為r時, 樣品合格數為n-r, n只樣品中出現r只不合格品的概率
若允許的不合格品數為c (r<c) , 則產品鑒定合格的概率 (接受概率) 可表示為
將式 (1) 、 (2) 代入式 (4) , 得
由于失效率鑒定中λ很小, 有

將式 (6) 代入式 (5) , 可得

因失效率鑒定中r很小, 而n又很大, 故總試驗時間T可近似表示為
將式 (9) 代入式 (8) , 可得
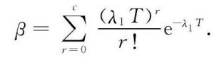
假設固體電解質鉭電容器鑒定合格的最低失效率λ1<λ, 同時λ1對應的風險β (置信度為1-β) 為

根據文獻, 對用部分積分法反復計算右邊積分, 證明其等于式 (10) 。
在總試驗時間為T的失效等級鑒定試驗中, 發生失效不超過r的概率可用Γ函數表示為
為將L (λ) 化成卡方分布, 以便在實際使用時直接查表, 設2t=x, 2 (c+1) =f, 則有
式 (13) 即為自由度為f的卡方分布。此處:β為所選擇的接受概率。故有
根據式 (14) , 選擇不同的β (如10%, 40%, 90%) , 即可求得與不同失效數c值對應的T值, 最終可得GJB 2649—1996的一次失效率抽樣方案表格。如某M級產品的置信水平90%, 最大失效率1%/1 000h, c=2 (即自由度2 (c+1) =6) , 查卡方分布分位表得1.064, 則
1.2 主要特點
由于每次鑒定所需的n很大, 周期也較長, 因此指數鑒定方法不適于逐批對鉭電容器進行失效率維持鑒定。GJB 2283—1995和GJB 63B—2001將失效率鑒定的維持置于周期試驗中, 規定每3個月進行一次。又因置信度越高, 試驗時間和成本的增幅越大, 故國軍標將維持失效率鑒定的置信度定為10% (即接受概率β=90%) 。這是一種較寬松的鑒定模式。采用該方法進行維持鑒定, 須保證生產過程的穩定性, 即試驗批能大致代表周期內所生產的產品的情況。
另外, 用指數鑒定法進行鑒定時, 如需將產品失效率升級到S級, 需要極其大量的元件小時數的累積, 因此指數分布的失效率鑒定適于超大批量生產的產品。雖然GJB 2649—1996規定, 在升級到R級和S級時, 可組合一個型號中結構相似的兩個或多個電壓組累積數據, 但這仍需耗費很長時間。就目前國內的情況來說, 因為規格數、產量和生產的時間都遠不及國外, 國軍標固體電解質鉭電容器最高失效率等級僅達到P級。
2 基于威布爾分布的失效率鑒定
2.1 原理和依據
2.1.1 威布爾模型建模
在產品使用過程中, 其壽命服從的分布函數用F (t) 表示, 在壽命區間, 不失效函數即產品的可靠度R (t) =1-F (t) 。對產品的失效密度f (t) , 有。假設產品的失效率為λ (t) , 則有
在威布爾分布中, 有
式中:m為形狀參數;為位置參數;η為真尺度參數 (特征壽命) 。
在固體電解質鉭電容器的失效率鑒定方案中, 式 (16) 作圖回歸后成線性, 故γ=0[1]??蓪⑹?(16) 化為
對式 (19) 作變換, 得
-lnη, 代入式 (20) , 有
利用線性回歸法作直線, 如圖1所示。該直線的斜率A=m, 直線在y軸的截距為-lnη。

圖1 線性回歸法Fig.1 Linear regression method
2.1.2 加速因子
威布爾分布的失效率鑒定時, 可通過改變電壓應力, 在一個可行的時間限度內達到數千小時的等效試驗值。因為改變電壓應力, 故在表示電壓和產品壽命關系時, 符合電壓逆冪定律式中:A為加速因子;α, β為與應力無關的常數;Vc, Vr為加速電壓和額定電壓[2]。
2.1.3 利用威布爾模型進行失效率計算
得到A后, 式 (18) 可改為
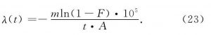
變換式 (19) , 可得, 代入式 (22) , 同時為使失效率能用1 000h的百分比表示, 增加105因子, 可得新的失效率

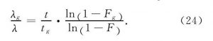
由式 (23) 可得試驗進行t小時后的鉭電容器失效率。如需得到某一更高失效率λg, 則所需的試驗時間滿足

用式 (19) 對式 (24) 中ln (1-Fg) , ln (1-F) 進行代換, 得

例:使用1.3倍額定電壓, 對300只片式固定鉭電容器進行威布爾失效率鑒定。2h后進行第一次失效計算, 有2只失效;40h試驗結束時, 又發現一只失效。
根據GJB 63B—2001規定, 使用1.3倍額定電壓時, 加速因子為279.14, 則F1=2÷300=0.67%, F1=3÷300=1%。
根據式 (20) 畫出典型失效率曲線, 并求得斜率m=0.133 5。將m值代入式 (23) , 得

0.01%/1 000h<λ<0.1%/1 000h, 所以產品的失效率為B級。
2.2 主要特點
綜上所述, 用威布爾分布的失效率鑒定法可實現對產品的逐批鑒定。相應地, GJB 2283—1995, GJB 63B—2001將威布爾分布產品的失效率鑒定放在A組逐批檢驗進行。由于每批產品都進行鑒定, 而且為保證不同批次產品的一致性, 接受威布爾定級的產品須達到指數分布鑒定的P級, 這樣得出的產品的失效率等級非??尚?。另外, 由于采用逐批鑒定的方式, 威布爾分布的失效率鑒定無需通過大量的元器件小時累積升級失效率, 即在小批量供貨情況下用威布爾鑒定法仍能準確地鑒定產品的失效率等級。因此, 該方法非常適合航天需求。但用威布爾分布對固鉭電容器進行失效率鑒定還存在技術難點。由上述計算可知, 欲取得較好的鑒定效果, 須將電壓應力控制在額定電壓的1.3~1.5倍, 為此須對產品生產過程進行更嚴格的控制。目前國內主要的軍工鉭電容器制造廠商, 篩選電壓一般控制在1.0~1.2倍的額定電壓, 只有少量供航天用的元件能將篩選電壓控制在1.4倍額定電壓。
3 兩種鑒定方式比較
由兩種鑒定方法的原理可知, 指數鑒定屬周期鑒定方式, 每3個月進行一次鑒定的維持;威布爾鑒定屬逐批鑒定方式, 可用于對每批產品進行鑒定。相對來說, 前者更適于整個生產工藝和生產線穩定性的考核, 而對周期內生產的每批產品的可靠性差異, 其鑒定結果往往不夠準確, 后者可對同一生產線生產的不同批次的產品進行鑒定, 使每批產品都有其對應的失效率等級;考慮生產工藝和生產線的穩定性, 威布爾鑒定必須在生產線達到指數分布的P級后才能進行。MIL-PRF-39003固體電解質鉭電容器通用規范中規定, 可用威布爾分布失效率B級 (0.1%/1 000h) 產品替代指數分布失效率S級 (0.001%/1 000h) 的產品, 這充分證明了威布爾分布失效率鑒定的準確性和可靠性。
另外, 兩種鑒定方法的適用場合不同。指數分布的失效率鑒定方法因失效率等級提升需大量元件小時數的累積, 適于大批量生產的產品, 而威布爾分布的失效率鑒定方式的失效率等級可通過對每一批產品的鑒定而得, 且因加速因子的存在, 鑒定周期不致過長, 故非常適于小批量生產的高質量等級產品。
4 結束語
通過兩種失效率鑒定方法的比較, 可知對航天用固體電解質鉭電容而言, 威布爾分布的失效率鑒定方法具有更好的適用性, 與指數分布的失效率鑒定方式相比, 能夠更準確地表征產品的固有可靠性。航天用固體電解質鉭電容既要滿足高失效率等級要求, 又非大批量生產產品, 無疑應采取威布爾分布的失效率鑒定方式。
